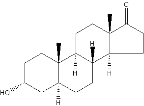
雄烯二酮

結構式
| 物競編號 | 015z |
|---|---|
| 分子式 | c19h30o2 |
| 分子量 | 290.44 |
| 標簽 |
雄酮, 雄甾酮, 3α-羥基-5α-雄甾烷-17-酮, 5α-雄烷-3α-醇-17-酮, 男酯酮, 順式酮基化甾醇, 順式雄素酮, 順式雄酮, 雄性酮, 3α-hydroxy-5α-androstan-17-one, 5α-androstan-3α-ol-17-one |
編號系統(tǒng)
cas號:53-41-8
mdl號:mfcd00003618
einecs號:200-173-4
rtecs號:bv8053000
brn號:2217626
pubchem號:24869692
物性數據
1. 性狀:白色結晶或粉末。無氣味。真空中升華。不被毛地黃皂苷所沉淀。
2. 密度(g/ml,25/4℃): 未確定
3. 相對蒸汽密度(g/ml,空氣=1):未確定
4. 熔點(oc):185~185.5
5. 沸點(oc,常壓):未確定
6. 沸點(oc,5.2kpa):未確定
7. 折射率:未確定
8. 閃點(oc):未確定
9. 比旋光度(o):+94.6°(c=0.7,無水乙醇中)、[α]d15 +87.8°(c=1.5,二氧六環(huán)中)。
10. 自燃點或引燃溫度(oc):未確定
11. 蒸氣壓(kpa,25oc):未確定
12. 飽和蒸氣壓(kpa,60oc):未確定
13. 燃燒熱(kj/mol):未確定
14. 臨界溫度(oc):未確定
15. 臨界壓力(kpa):未確定
16. 油水(辛醇/水)分配系數的對數值:未確定
17. 爆炸上限(%,v/v):未確定
18. 爆炸下限(%,v/v):未確定
19. 溶解性:溶于多數有機溶劑,不溶于水。
毒理學數據
1、繁殖毒性:雄性大鼠皮下tdlo:8400ug/kg,21天前交配;雌性大鼠肌內tdlo:80mg/kg,13-20天后受孕
生態(tài)學數據
暫無
分子結構數據
1、 摩爾折射率:83.49
2、 摩爾體積(m3/mol):267.6
3、 等張比容(90.2k):677.7
4、 表面張力(dyne/cm):41.1
5、 極化率(10-24cm3):33.10
計算化學數據
1.疏水參數計算參考值(xlogp):無
2.氫鍵供體數量:1
3.氫鍵受體數量:2
4.可旋轉化學鍵數量:0
5.互變異構體數量:2
6.拓撲分子極性表面積37.3
7.重原子數量:21
8.表面電荷:0
9.復雜度:459
10.同位素原子數量:0
11.確定原子立構中心數量:7
12.不確定原子立構中心數量:0
13.確定化學鍵立構中心數量:0
14.不確定化學鍵立構中心數量:0
15.共價鍵單元數量:1
性質與穩(wěn)定性
暫無
貯存方法
本品應密封保存。
合成方法
暫無
用途
生化研究。 雄性激素和蛋白同化激素。
擴展閱讀https://www.bdmaee.net/wp-content/uploads/2022/08/10.jpg擴展閱讀https://www.newtopchem.com/archives/40320擴展閱讀https://www.bdmaee.net/tmr-2-2/擴展閱讀https://www.bdmaee.net/toluene-diisocyanate-tdi-tdi-trimer/擴展閱讀https://www.newtopchem.com/archives/39778擴展閱讀https://www.cyclohexylamine.net/trimerization-catalyst-pc-41-triazine-catalyst/擴展閱讀https://www.bdmaee.net/wp-content/uploads/2022/08/88-1.jpg擴展閱讀https://www.morpholine.org/n-ethylmorpholine/擴展閱讀https://www.newtopchem.com/archives/1053擴展閱讀https://www.bdmaee.net/wp-content/uploads/2022/08/115-12.jpg

